叮当号西瓜为您揭秘冬季狂想曲技能全解锁攻略。这款以小镇故事为背景的角色剧情模拟游戏,融合了日系特色元素,充满深度解谜的挑战。在游戏中,操作技巧至关重要。除了有趣的特色内容外,还提供丰富的技能玩法,玩家可解锁所有技能,获得更全面的游戏体验!
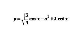
以一个公式来举例说明MathType中如何输入分式与根式。

启动MathType软件。点击插入->对象。
输入根式。点击工具栏上的根式与分式的方框,我们可以直接通过根号与分号的方框完成输入。

输入平方,平方可以通过工具栏上面的按钮完成输入,或可以使用快捷键Ctrl+H。
输入特殊符号,点击菜单栏中的编辑->插入符号,即可打开特殊符号对话框,选择需要输入符号。

以上就是MathType输入分式与根式的操作教程的详细内容,更多请关注叮当号网其它相关文章!
文章来自互联网,只做分享使用。发布者:木子,转转请注明出处:https://www.dingdanghao.com/article/356191.html
