几何画板是一款功能强大的几何作图软件,在使用过程中难免会遇到需要删除或拖动对象的情况。叮当号小新特此整理了相关操作方法,以便大家能够轻松解决这些问题。下面将详细介绍几何画板中如何进行对象的删除和拖动,希望对大家有所帮助。
1.删除
删除就是把对象(点、线或圆)从屏幕中清除出去。方法是:先选中要删除的对象,然后再选择【编辑】菜单中的【清除】项,或按键盘上的【Delete】键或【backspace】键。请注意,这时该对象的所有子对象均会被删除,并一般的 Windows 软件又不同,和数学思想倒很相近,【皮之不存,毛将附焉】。
2.拖动
用鼠标可以选择一个或多个对象,当你用鼠标拖动已经选中的对象在画板中移动时,这些对象也会跟着移动。由于几何面板中的几何对象都是通过几何定义构造出来的,而且几何画板的核心就在于【在运动中保持几何关系不变】,所以,一些相关的几何对象也会相应地移动。
当你拖动画板中的图形时,可以感受到几何画板的动态功能。请注意:在拖动之前,请按【Esc】键,或点击【移动箭头工具】后,选定要移动的对象。
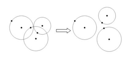
在前面学习中,你是不是用画圆工具画了三个过同一点的圆,并把它保存为【共点的三圆.gsp】的文件。现在把这个文件调出来,请大家任意选中一个圆随意拉动,看这三个圆是否还能【过同一点】?拖动结果可能如下图所示:

在拖动过程中,几何画板能够保持所有给定的几何关系,因为它就是根据几何关系来设计的。
以上就是几何画板对象进行删除和拖动的操作方法的详细内容,更多请关注叮当号网其它相关文章!
文章来自互联网,只做分享使用。发布者:代号邱小姐,转转请注明出处:https://www.dingdanghao.com/article/385070.html
