在极乐夜王这款经营类游戏中,有多中产业可以解锁,很多员工等玩家养成升级,下面帮玩家对游戏中的各种数据进行了整理,玩家想要做什么,需要哪些条件,都能一目了然,一起来看看吧。

极乐夜王开发誓约女帝冲刺等数据一览
最新兑换码:
QWTLDUTMFC
性感开发(天王要优先拉、彩奈开发适合打优雅女帝、瓶儿开发单体输出不亏)

觉醒誓约材料一览表

女帝一览

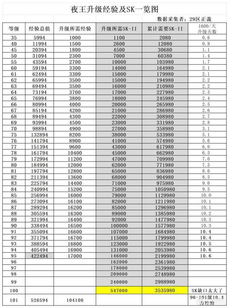
夜王升级经验及SK一览图

感谢祭任务

冲刺兴奋等级

冲刺进度对照图

异界酒店奖励一览(困难)

商店兑换:优先换胸针、花、肚蕾斯、宝石、卫生纸、关爱的礼物。等级高了你们就都懂了,多么痛的领悟。
女帝商店:优先美容卷、开发材料
业配:胸针(全拿)
鲍鱼商店:优先胸针、花
异界:花、肚蕾斯、宝石、礼物耳环
私斗:花、肚蕾斯、宝石、礼物项链、ssr书
便利店:体力
VOSP酒存着感谢祭用,至于感谢祭的任务,上面有图自己找,不明白的去B站搜游戏名,找“吃饭睡觉逗逗”的视频自己看什么是感谢祭,什么是骰子乐
骰子乐,13抽保底,一轮活动送20个,再花800金买4个骰子,刚好两轮,运气好可以混个100片碎片。另外,如果十连或者单抽出了大奖,那么13抽保底就会重置!
女帝,啤酒给伊琳娜(60级女帝)和安娜(70级女帝)用,因为没有关卡出产!最好平均先拉到15级,数据帖子里有,15级300多关爱,资源投入少,回报高。
人物强度
第一梯队,四天王(妲己打肉超猛,安卡增益转属性,杏奈单体暴力美学,茵茵群伤切菜!)4500元/个,9元/片!
第二梯队,特调(呆毛、艾薇、希瓦娜等,就是只有限时活动能兑换,300金一瓶酒,一轮35瓶10500金一轮,欧皇2轮半,非酋三轮半,三个月一复刻,复刻就是再出来一次)2000-3000元/个,4.5-6元/片!
第三梯队,限时(可兰、乔雅娜)1200元/个,2.4元/片!
第四梯队,普选(VOSP池子里出的)
第五梯队,SR只有爱眯、啦啦队、可萝伊能培养一下。
第六梯队,尽可能少升级,升级太多可能会导致异界酒店困难强度过高。
现在人物分化比较厉害,鲍鱼游戏和异界酒店,适合群伤、特效流、奶队防守流
女帝,适合单体技能、免疫控制、醉酒、跑单的,我妲己打异界鲍鱼很棒,打女帝技能还没普攻高,特效还免疫,哭死
能玩奶队的,基本上都是V10以上大佬,才考虑防守,建议V10以下玩家,还是优先拿输出,至于是群伤还是单体,看你自己
鲍鱼基本上八个区一起,就是说不是V10以上玩家,没机会拿到第一的鲍鱼框,V8以下玩家,基本上没机会进前十
80级前,很缺钱,80级后,最缺的是经验书,就是SK-II,希望你们资源合理分配,不要为了一些关卡,去拉很多不用的人物,等级高了,反过来碾压就行了,多么痛的领悟
平民玩家,无脑拉瓶儿,总是不亏的
升级速度,一天买两次体力计算,1600点/天
22天50级,60天70级,120天80级,160天85级。
系统日常任务900点经验,你的体力,大概只能刷600点,材料当然很缺很缺,欧皇一个月多花3600金买6000点体力,材料会多很多,当然升星材料等级越高,花费体力越多,出产概率越低。
私密约会-15级看cg,15级167000点
1、白嫖300天点满
2、1500金(1000金sr)100天点满,送1%当前人物属性,70元RMB/人
3、4500金(3000金sr)40天点满,送2%当前人物属性,累计210元RMB/人
刷图SSR碎片(深夜):
7-2、9-2,爱眯
6-3、10-3克里欧
8-3、12-3、14-2瓶儿
13-3蒂亚
5-4、6-4比较难,四轮不还手,上4个人(包含借的人),45级-50级就能过,爱眯最好五星,双丽莎过图超级爽。
啦啦队+爱眯+爱许莉+杏奈/啦啦队,带爱许莉是因为boss的伤害48级左右只能吃三轮半,而爱眯要第四轮完才能加血,然后不还手,只放技能,等血拉起来再去打boss。
官方强度标准
50级,8-10三星
60级,10-10三星
70级,14-10三星
80级,16-10三星
不忘初心,方得始终。
平民玩家不要上头,这游戏,本质还是养成游戏,冲个V4,慢慢玩就好,V4两个月双月卡(105元/月)就能达到,也可以买金条,VIP经验加的多。
V4能拿冲刺奖励(想完成冲刺,每天要买5次体力,V3只能买4次),V4还能解锁4倍速战斗,异界酒店跳过战斗,极大的节省时间
V4以下,没跳过,太花时间了,不值得,当然,我是见过V0,94级的狠人
V4起步(300-400),V8站稳(3000-5000),V10高手,V12独断万古
不要拿自己的身家和土豪的零花钱比
文章来自互联网,只做分享使用。发布者:张大嘴,转转请注明出处:https://www.dingdanghao.com/article/48489.html
