在《冒险大作战》中,科技研究是至关重要的环节。为了进行合理的研究,我们需要深入了解不同矿藏的发展数据和百分比,以及来自不同军团的属性增益,包括攻击、生命和防御等。此外,外设研发也在科技研究中占据重要地位,其中每分钟产生的变化都经过了严格的数据分析。本篇文章将由叮当号鱼仔为各位详细解读《冒险大作战》的科技研究,帮助大家提升游戏中的实力。请继续阅读以下内容了解更多细节。
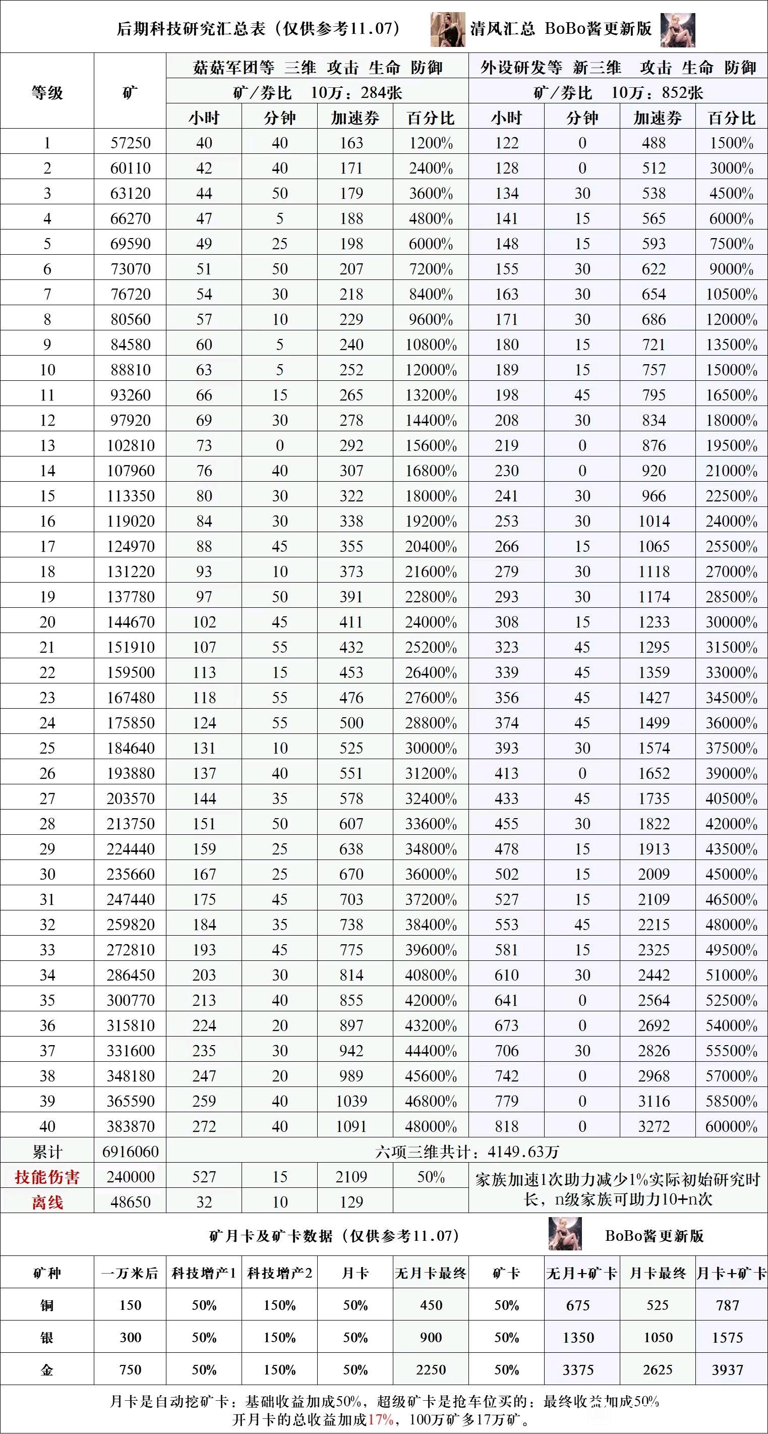
《冒险大作战》后期科技研究汇总表

下面是参考之前的表

在《冒险大作战》这款游戏中,科技研究是一个重要的系统,它允许玩家通过投入资源和时间来研究新的科技,以提升角色的能力和解锁新的功能。科技研究系统为玩家提供了丰富多样的科技选项这些科技可以分为攻击、防御、生产和辅助等不同类型,每个科技都拥有不同的效果和提角色能力的方式。
通过选择适合自己角色发展方向的科技,并进行研究和升级,玩家可以提升角色的战力和生产效率更好地应对游中的各种挑战。科技研究需要投入一定的和时间。玩家需要集游戏内的资源,如金币、材料等,用于科技的研究和升级。同时,科技研需要耗费一定的,玩家需要合理安排科技研究的顺序和时间,以达到最佳的效果。科技研究有一个重要的特,就是科技之间的相互关联和解锁条件。某些科技的解锁和研需要先达到一定的前置科技,这就要求玩家在科技研究上有一的规划和策略,以确保能够获得最大的收益和发展空间。
以上就是《冒险大作战》后期科技研究汇总表的详细内容,更多请关注叮当号网其它相关文章!
文章来自互联网,只做分享使用。发布者:走不完的路,转转请注明出处:https://www.dingdanghao.com/article/507873.html
