相信和作者一样爱技术对ai兴趣浓厚的小伙伴们,一定对卷积神经网络并不陌生, 也一定曾经对如此“高级”的名字困惑良久。作者今天将从零开始走进卷积神经网络的世界~与大家分享!
在深入了解卷积神经网络之前,我们先看看图像的原理。

图像原理
图像在计算机中是通过数字(0-255)来表示的,每个数字代表图像中一个像素的亮度或颜色信息。其中:
- 黑白图像:每个像素只有一个值,这个值在0(黑色)到255(白色)之间变化。

- 彩色图像:每个像素包含三个值,最常见的是RGB(Red-Green-Blue)模型,即红色、绿色和蓝色光以不同强度组合起来产生各种颜色。每个颜色通道都有256级亮度,从0~255,因此每种颜色可以用一个8位的二进制数来表述,例如(255,0,0)表示红色,(0,255,0)表示绿色,(0,0,255)表示蓝色,其他组合则对应各种颜色。计算机中,彩色图像的数据结构通常是一个三维数组或张量,形状为(宽度,高度,深度),其中深度就是通道的数量,对于RGB图像来说,深度是3。这意味着,对于每个像素位置,有三个数值分别代表红绿蓝三个通道的亮度。例如,一个100*100像素的RGB图像将占用100x100x3个字节的内存。

「这里“8位的二进制数”怎么理解呢?」
在RGB颜色模型中,每个颜色通道(红、绿、蓝)可以有256个不同的亮度级别,每个通道表示8位二进制表示,8位二进制数的最大值是11111111,转化成十进制就是255;最小值是00000000,转化成十进制就是0。
何为卷积神经网络CNN?
CNN报道了一种在CV中家喻户晓的一种应用场景。以原始图片尺寸为10×10为例,如下图所示,其左半部分是像素值较大,是明亮区域;右半部分是像素值较小,为深度区域。中间的分界线即是要检测的边缘。
「那么怎么检测边缘呢?」 此时滤波器filter(也叫kernel)出场了,如下图所示,kernel尺寸为3×3。
滤波器filter滑过输入图片,在每个区域处稍做停留,对应元素相乘再相加计算,之后再向其它区域滑动继续计算,直到滑动至原图片的最后一个区域为止。这个过程即为「卷积。」

由上图可以看出,输出结果的中间颜色浅,两边颜色深,说明原图的边界已反应出来。「因此可以总结出,边缘检测就是通过输入图片与相应滤波器进行卷积运算得以识别。」
另外,这里的滑动还涉及到一个基本概念,「步长stride」,上述示例中,是以stride为1说明,每次滑动一格,共停留了8×8个区域,所以最终输出结果是8×8矩阵。
「那么,究竟什么是卷积神经网络呢?」
经过上面边缘检测这一具体的目标检测场景的分析,我们也就不难理解,CNN(Convolutional neural network)就是通过各种各样的滤波器filter不断提取图片特征,从局部到整体,进而识别目标。
而在神经网络中,这些filter中的每个数字,就是参数,可通过大量数据训练得到(即深度学习的过程)。
CNN中的基本概念
1.卷积(Convolution)
(1) 卷积计算
卷积是数学分析中的一种积分变换的方法,而在图像处理中则采用的是卷积的离散形式。在卷积神经网络CNN中,卷积层的实现方式本质即为数学中定义的互相关计算(cross-correlation)。具体计算过程如下图所示。

其中:
图(a):左边的图大小是3×3,表示输入数据是一个维度为3×3的二维数组;中间的图大小是2×2,表示一个维度为 2×2的二维数组,也即为「卷积核」。卷积核的左上角与输入数据的左上角(0,0)对齐,并依次将二者对应位置数据相乘,再相加,即可获得卷积输出的第一个结果25。
依次类推,图(b)、(c)、(d)分别为卷积输出的第二、三、四个输出结果。
(2) 图片卷积运算
那么图片卷积运算,具体是怎么回事呢?如下图所示即为彩色图像卷积过程。

对于彩色图像的通道1(Red)、通道2(Green)、通道3(Blue),分别使用Kernel1、Kernel2、Kernel3。每个卷积核在对应的单色图像上滑动,对每个位置上的小块区域(Kernel大小)内的像素值与卷积核的相应元素进行逐点乘法运算,然后将这些乘积相加得到一个值。再将每个通道得到的数值相加,并加上总体的偏置Bias,即可得到对应特征图(feature map)中的一个值。
立体效果如下图所示:

2.Padding
如上所述边缘检测的例子中,可以看到,原图片尺寸是10×10,经过filter之后是8×8。如果再做一次卷积运算就是6×6…这样的话会有两个缺点:
- 每次做卷积操作,输出图片尺寸缩小
- 角落或边缘区域的像素点在输出中采用较少,因此容易丢掉图像边缘位置的许多信息。
如下图中左上角红色阴影只被一个输出触碰到,而中间的像素点(紫色方框标记)会有许多3×3的区域与之重叠。所以,角落或边缘区域的像素点在输出中采用较少,容易丢掉图像边缘位置的许多信息。

为了解决这一问题,我们通常采用Padding的方法,在卷积操作之前,先给原图片边缘填充一层像素, 例如,将10×10的图像即可填充为12×12的大小,卷积之后的图片尺寸为8×8,和原始图片一样大,这样便使得原图的边缘区域像素点也可以多次被采用。
选择填充多少像素,通常有两种选择:
- Same卷积:即如上所述,填充再卷积之后的图片大小与原图片一致。
- Valid卷积:不进行填充操作,直接卷积。
3.stride
stride的概念在引言中有提到过,表示过滤器filter在原图片中水平方向和竖直方向每次滑动的长度,也叫步进长度。
假设s表示stride长度,p表示padding长度,原图片尺寸是nxn,过滤器filter尺寸是fxf,则卷积后的图片尺寸为:

4.池化
池化的本质就是降维。
卷积网络中池化层的作用:降低特征图的参数量、提升计算速度、增加感受野,也即为一种降采样操作。
物体检测中常用的池化:最大值池化(Max Pooling)与平均值池化(Average Pooling)。
(1) Max pooling
即在滤波器filter滑动区域内取最大值,而无需卷积运算。数字大意味着可能探测到了某些特定的特征,忽略了其它值,降低了噪声影响,提高了模型健壮性。「并且,Max pooling需要的超参数仅为滤波器尺寸f和stride长度s,无需要训练其它参数,计算量较小。」

(2) Average pooling
即在滤波器filter滑动区域内求平均值。

5.Shape
在处理多维数据,尤其是图像数据时,Tensorflow和Pytorch数据Shape有所区分。
- TensorFlow:(batch_size, height, width, in_channels)
- Pytorch:(batch_size, in_channels, height, width)
其中:
- batch_size:批量处理的样本数量。
- in_channels:输入图像的通道数,对于彩色图像通常是3(红、绿、蓝)。
- height和width分别是图像的高度和宽度。

如上图所示:
- 输入图片Shape:[height, width, channels],即[8,8,3],表示一个8×8的图像,有3个通道(R、G、B)。
- 卷积核Shape:[kernel_height, kernel_width, in_channels, out_channels],即[3,3,3,5],表示一个3×3的卷积核,有3个通道(R、G、B),输出通道数是5。
- 输出图片Shape:[height, width, out_channels],即[6,6,5],表示一个6×6的输出图片,有5个通道(R、G、B)。
out_height = (height - kernel_height + 1) / strideout_width = (width - kernel_width + 1) / stride
登录后复制
对于8×8的图像和3×3的卷积核,输出尺寸将是 (8 – 3 + 1) / 1 = 6,因此输出形状是 [6, 6, 5],表示一个6×6的特征图,有5个输出通道。
卷积核的输入通道数(in_channels)由输入图像的通道数决定,比如:一个RGB格式的图片,其输入通道数为3。
而输出矩阵的通道数(out_channels)是由卷积核的输出通道数所决定,即卷积核有多少个不同的滤波器(filter)。在这个例子中,卷积核有5个滤波器,所以输出有5个通道。
6.激活函数
并不是所有的映射关系都可以用线性关系准确表达。因此需要激活函数表示非线性映射。
激活函数也就是非线性映射。神经网络如果仅仅是由线性运算堆叠,是无法形成复杂的表达空间的,也就很难提取高语义信息,因此需要加入非线性映射关系。
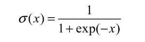
(1) Sigmoid函数


Sigmoid函数将特征压缩到了(0,1)区间,0端是抑制状态,1端是激活状态,中间部分梯度最大。
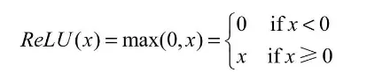
(2) Relu函数
修正线性单元(Rectified Linear Unit, ReLU)。通常用于缓解梯度消失现象。

在小于0的部分,值与梯度为0,大于0导数为1,避免了Sigmoid函数中梯度接近于0导致的梯度消失问题。

(3) Softmax函数
多物体类别较为常用的分类器是Softmax函数。
在具体的分类任务中,Softmax函数的输入往往是多个类别的得分,输出则是每一个类别对应的概率,所有类别的概率取值都在0~1之间,且和为1。
Softmax函数公式如下:

其中,Vi表示第i个类别的得分,C代表分类的类别总数,输出Si为第i个类别的概率。
CNN整体结构
卷积神经网络CNN由输入层、卷积层、Relu、池化层和全连接层、输出层组成。
如下图所示是一个卷积网络示例,卷积层是卷积网络的第一层,其后跟着其它卷积层或池化层,最后一层是全连接层。越往后的层识别图像越大的部分,较早的层通常专注于简单的特征(例如颜色和边缘等)。随着图像数据在CNN中各层中前进,它开始识别物体的较大元素或形状,直到最终识别出预期的物体。

其中:
- 输入层:接收原始图像数据,作为网络的输入。
- 卷积层:由滤波器filters和激活函数构成,属于CNN的核心层,主要作用是提取样本特征。它由输入数据、filter(或卷积核)和特征图组成。若输入数据是RGB图像,则意味着输入将具有三个维度——高度、宽度和深度。filter的本质是一个二维权重矩阵,它将在图像的感受野中移动,检查特征是否存在。卷积的运算过程如上所述。卷积层一般要设置的超参数包括过滤器filters的数量、步长stride以及Padding的方式(valid or same)以及激活函数等。
- 池化层:本质即就是下采样(Downsampling),利用图像局部相关性原理,对图像进行子抽样,在保留有用信息的前提下减小数据处理量,具有一定的防止模型过拟合作用。
- 全连接层:该层的每一个结点与上一层的所有结点相连,用于将前边提取到的特征综合在一起。通常,全连接层的参数是最多的。
- 输出层:根据全连接层的信息得到概率最大的结果。
CNN的优势
与传统神经网络相比CNN具有局部连接、权值共享等优点,使其学习的参数量大幅降低,且网络的收敛速度也更快。
- 局部连接:特征图的每个输出值不需要连接到输入图像中的每个像素值,而只需要连接到应用过滤器filter的感受野,因此卷积层通常被称为“部分连接层”,这种特性也即是局部连接。
- 权值共享:当卷积核在图像上移动时,其权值是不变的。即为权值共享。
以上就是零基础也能搞懂卷积神经网络原理!超详细!的详细内容,更多请关注叮当号网其它相关文章!
文章来自互联网,只做分享使用。发布者:代号邱小姐,转转请注明出处:https://www.dingdanghao.com/article/570237.html
