
环形正负电子对撞机(CEPC)中模拟的双喷注事例示意图。(来源:中国科学院高能物理研究所)
编辑 | 紫罗
夸克和胶子是粒子物理标准模型中的基本粒子,与电子或光子不同,夸克和胶子不能在时空中自由运动,只能被束缚在如质子或中子这样的复合粒子中。
对撞机实验中产生的高能夸克或胶子会通过复杂的相互作用转化为大量的末态粒子,后者将沿着原夸克或胶子的运动方向在较小的角度内喷射而出,这一现象被称为喷注。
近日,中国科学院高能物理研究所阮曼奇团队、北京大学周辰团队和欧洲核子研究中心曲慧麟研究员,提出了一种喷注本源鉴别技术。这一技术可大幅提升高能对撞机实验的科学发现能力。
结合原创的高性能粒子流重建算法 Arbor 以及先进的人工智能技术 ParticleNet,该研究团队开发了一种高效的喷注本源识别技术。该技术通过捕捉不同种类喷注之间的微小差异,可同时高效区分由五种夸克(上、下、奇异、粲、底)、五种反夸克,以及胶子产生的十一种不同喷注。
这一技术可以帮助科学家准确测量不同粒子同夸克以及胶子之间的相互作用,并捕捉某些极其微弱的希格斯粒子衰变信号。该技术可以把未来对撞机上关键物理测量的精确程度提升一个数量级,大幅扩展了大科学装置的科学发现能力。
被审稿人评价为「世界顶级的鉴别性能」,「改变了游戏规则」,「开创了未来对撞机实验上精确测量的新视野」。
该研究以《Jet-Origin Identification and Its Application at an Electron-Positron Higgs Factory》为题,于 2024 年 5 月 31 日发表在《Physical Review Letters》上。

论文链接:https://journals.aps.org/prl/abstract/10.1103/PhysRevLett.132.221802
喷注在高能对撞实验中可大量产生,准确鉴别喷注的本源、即喷注来源于何种夸克或胶子,对于发掘和理解对撞机事例背后的物理规律极为重要。然而,产生自不同夸克和胶子的喷注在构型上极为相似,准确鉴别喷注本源的难度非常高。

图示: 使用 CEPC 基线探测器模拟和重建的 ?+?−→?¯??→?¯??? (√?=240 GeV) 事件的事件显示。(来源:论文)
喷注本源鉴别
背景
为了增强高能对撞机实验的科学发现能力,研究人员提出了喷注本源鉴别的概念,将喷注分为以下类型:
- 五种夸克:a、b、s、u、d
- 五种反夸克:a¯、b¯、s¯、u¯、d¯
- 胶子
重要性
成功的喷注本源鉴别对于能量前沿的实验粒子物理至关重要,例如大型强子对撞机,因为它可以有效降低量子色动力学(QCD)过程中的大背景。
方法
研究人员使用基于 GEANT4 的模拟(称为完整模拟)实现了电子-正电子希格斯工厂物理事件中喷注本源鉴别的概念,电子-正电子希格斯工厂是未来对撞机项目的最高优先级。研究人员开发了 Arbor 和 ParticleNet 等软件工具,用于粒子流事件重建和喷注本源鉴别。
性能
研究使用 11 维混淆矩阵(M11)展示了喷注本源鉴别性能,该矩阵展示了喷注“味道”(flavor)标记和喷流电荷测量的性能。

图示:使用 11 维混淆矩阵 M11 的整体喷注本源鉴别性能。(来源:论文)研究人员将喷注本源鉴别应用于 CEPC 标称希格斯运行场景下稀有和奇异的希格斯玻色子衰变测量。该场景预计在

GeV 处积分光度为 20 ab^−1,可积累 4 × 10^6 个希格斯玻色子。研究分析了稀有衰变 H → ss¯、uu¯ 和 dd¯ 以及味道变化中性流 (FCNC) 衰变 H → sb、ds、db 和 uc(其中,sb 表示 sb¯ 或 s¯b,ds、db 和 uc 亦同)。
推导出这七个过程的上限,范围从 10^−3 到 10^−4。在标准模型中,H → ss¯ 过程的预测分支比为 2.3 × 10^−4,推导出的上限相当于标准模型预测的 3 倍。H → uu¯ 和 dd¯ 的分支比预计小于 10^−6,而根据环路贡献,上述 FCNC 过程的分支比预计小于 10^−7。

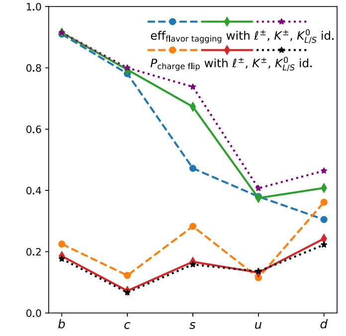
图示:喷注味标记效率和电荷翻转率。(来源:论文)
该技术为科学家们在未来对撞机上的科学探索提供了强有力的全新工具,也证明了喷注产生过程内所蕴含的复杂信息可以被先进的人工智能算法理解并利用。
在未来,科研团队计划进一步研究人工智能技术在更广泛、更深层的科学问题上的应用。
论文链接:https://journals.aps.org/prl/abstract/10.1103/PhysRevLett.132.221802
参考内容:
https://phys.org/news/2024-06-ai-powered-jet-identification-technology.html
https://www.ccnta.cn/article/17151.html
以上就是改变未来对撞机实验游戏规则,中国科学院、北大开发AI驱动喷注本源鉴别技术的详细内容,更多请关注叮当号网其它相关文章!
文章来自互联网,只做分享使用。发布者:momo,转转请注明出处:https://www.dingdanghao.com/article/687016.html
