线性方程组的直接解法方法很多,包括Gauss消去法、选主元消去法、平方根法和追赶法等等。但是在MATLAB中,可以直接利用“”或者“/”来解决问题。这两种方法的内部包含非常多的自适应算法,比如对超定方程使用最小二乘法;对欠定方程给出误差范数最小的一个解;对三对角阵方程组使用追赶法。
MathWorks MATLAB R2024b MacOS Apple Silicon/Inter 中文正式免费版
- 类型:商业效率
- 大小:18.0GB
- 语言:简体中文
- 时间:2024-09-13
查看详情
一. 直接求解:矩阵除法
x=AB
调用此函数时,矩阵A、B必须具有相同的行数。如果矩阵A没有正确缩放或者接近奇异矩阵,运行代码时,MATLAB就会显示警告信息。
对矩阵A可以分成如下三种情况:
例题1
解如下方程:
解:
MATLAB代码如下:
clc;clear;
A=[0.4096 0.1234 0.3678 0.2943;0.2246 0.3872 0.4015 0.1129;
0.3645 0.1920 0.3781 0.0643;0.1784 0.4002 0.2786 0.3927];
b=[0.4043;0.1150;0.4240;-0.2557];
x=Ab;
x' %将结果输出为行向量
运行结果:
ans =
- 0.332683779325239
- -1.412140862756104
- 1.602847655449206
- -0.500293786006566
例题2
A为4阶的幻方矩阵,求解线性方程组Ax=b。b的表达式如下:
备注:幻方矩阵的定义:如果一个数组具有相同行列且每行,每列和对角线上的和都一样,则成这些数组则成为魔方矩阵,又叫幻方矩阵。
解:
MATLAB代码如下:
clc;clear; A=magic(4); %生成四阶的幻方矩阵 b=[34;34;34;34]; x=Ab; x'
运行结果:
ans =
- 0.980392156862745
- 0.941176470588235
- 1.058823529411765
- 1.019607843137255
分析:
4阶的幻方矩阵是奇异矩阵,奇异矩阵也能求解,但是MATLAB会生成警告,警告信息如下:
警告: 矩阵接近奇异值,或者缩放错误。结果可能不准确。RCOND = 4.625929e-18。;
例题3
对线性方程组Ax=b进行求解,并分析是否有误差。A,b矩阵如下:
解:
MATLAB代码如下:
clc;clear; A=[1 2 0;0 4 3]; b=[8;18]; x=Ab E=norm(b-A*x) %求范数误差
运行结果:
x =
- 0
- 3.999999999999997
- 0.666666666666670
E =
7.160723346098895e-15
分析:此方程属于欠定方程,MATLAB采用最小二乘法进行求解,所以会出现误差
另外最后举一个利用稀疏矩阵对简单线性方程组Ax=B进行求解。
MATLAB代码:
clc;clear; A=sparse([0 2 0 1 0;4 -1 -1 0 0;0 0 0 3 -6;-2 0 0 0 2;0 0 4 2 0]);%稀疏矩阵 B=sparse([8;-1;-18;8;20]); %稀疏矩阵 x=AB E1=norm(B-A*x) %范数误差
运行结果:
x =
- (1,1) 1.000000000000000
- (2,1) 2.000000000000000
- (3,1) 3.000000000000000
- (4,1) 4.000000000000001
- (5,1) 5.000000000000001
E1 =
4.189529226675416e-15
二. 直接求解:判断求解
给定矩阵A,B如下:
形成解的判定矩阵C如下:
线性方程组有解的判断定理将分成三种情况:
2.1 m=n且rank(A)=rank(C)=n
例题4
求解如下方程组:
解:
MATLAB代码如下:
clc;clear; A=[1 2 3 4;4 3 2 1;1 3 2 4;4 1 3 2]; B=[5 1;4 2;3 3;2 4]; C=[A B]; %判定前提条件 rank_A=rank(A) rank_C=rank(C) %求解 x1=inv(A)*B %计算范数误差 E1=norm(A*x1-B) %计算精确解 x2=inv(sym(A))*B %计算范数误差 E2=norm(A*x2-B)
运行结果:
- rank_A =4
- rank_C = 4
x1 =
- -1.800000000000000 2.399999999999999
- 1.866666666666666 -1.266666666666667
- 3.866666666666667 -3.266666666666667
- -2.133333333333333 2.733333333333333
E1 =7.291088482824584e-15
x2 =
- [ -9/5, 12/5]
- [28/15, -19/15]
- [ 58/15, -49/15]
- [ -32/15, 41/15]
E2 =0
2.2 rank(A)=rank(C)=r<n
此时方程组有无穷多个解。将原方程组可以转化为对应的齐次方程组的解,形式如下:
此时需要求取A矩阵的化零矩阵,MATLAB格式如下:
Z=null(A)
或者求取A矩阵的化零矩阵的规范形式,MATLAB格式如下:
Z=null(A,'r')
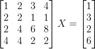
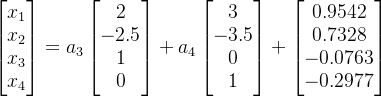
例题5
求解以下方程组:
解:
MATLAB代码如下:
clc;clear; A=[1 2 3 4;2 2 1 1;2 4 6 8;4 4 2 2]; B=[1;3;2;6]; C=[A B]; %判断可解性 rank=[rank(A),rank(C)] %求解出规范化的化零空间 Z=null(sym(A)) %求特解 x0=sym(pinv(A)*B) %验证得出的解 a1=randn(1); a2=rand(1); %a1和a2是不同分布的随机数 x1=a1*Z(:,1)+a2*Z(:,2)+x0; E=norm(double(A*x1-B)) %将通解表示出来 syms a3 a4; x2=a3*Z(:,1)+a4*Z(:,2)+x0
运行结果:
rank =2
分析:说明有解,且解不止一个
Z =
- [ 2, 3]
- [ -5/2, -7/2]
- [ 1, 0]
- [ 0, 1]
分析:此结果可以解释为,如下等式:
x0 =
- 125/131
- 96/131
- -10/131
- -39/131
E =0
分析:此方法求出的结果没有误差
x2 =
- 2*a3 + 3*a4 + 125/131
- 96/131 – (7*a4)/2 – (5*a3)/2
- a3 – 10/131
- a4 – 39/131
分析:此结果可以写成通式如下:
此时只能采用摩尔-彭罗斯(Moore-Penrose)广义逆求解出其最小二乘法,MATLAB格式如下:
x=pinv(A)*B
这种方法只能使误差范数测度||Ax-B||取的最小值,并不能完全符合原始的代数方程。
三. 矩阵求逆解线性方程组
通过反转系数矩阵A,也可以实现对线性方程组Ax=b的求解。不幸的是,与之前反斜杠计算的方法相比,此方法的运算速度会更慢,残差也相对较大。但其实,它也有它的优点,我们来看一道例题。
例题 6
利用八阶的幻方矩阵,来比较MATLAB中x1=Ab和x2=pinv(A)*b两种求解方法的精确度。
解:
MATLAB代码如下:
clc;clear; A=magic(8); A1=A(:,1:6); %行数全取,列数保留1~6列,具体原因见"分析" rank_A1=rank(A1) b=260*ones(8,1); %260是原A矩阵的幻数和 %使用反斜杠法求解 x1=A1b norm_x1=norm(x1) E1=norm(A1*x1-b) %使用pinv()函数求解 x2=pinv(A1)*b norm_x2=norm(x2) E2=norm(A1*x2-b)
运行结果:
rank_A1 =3
警告: 秩亏,秩 = 3,tol = 1.882938e-13。
(由于A1矩阵非方阵,所以运算秩时矩阵出现警告,与矩阵秩相关的介绍可以看以下文章)
基于MATLAB的矩阵性质:行列式,秩,迹,范数,特征多项式与矩阵多项式_唠嗑!的博客-CSDN博客
x1 =
- 2.999999999999998
- 4.000000000000000
- 0
- 0
- 1.000000000000002
- 0
- norm_x1 =5.099019513592784
- E1 =1.392373714442771e-13
x2 =
- 1.153846153846151
- 1.461538461538463
- 1.384615384615385
- 1.384615384615383
- 1.461538461538461
- 1.153846153846153
- norm_x2 =3.281650616569467
- E2 =4.019436694230464e-13
分析:
- (1)将A矩阵转换为A1,因为当只有六列时,方程仍然是一致的,依旧存在解,而且解并非全由1组成。另外,由于矩阵低秩,所以会有无数个解。
- (2)根据范数误差计算的结果,两种求解方法精度一致
(3)解x1的特殊之处在于它只有三个非零元素;解x2的特殊之处在于它的norm(x2)非常小


















