typedef

  • 什么是C++中的类型别名?

    c++++中的类型别名可以通过typedef和using关键字实现。1.提高代码可读性和可维护性。2.typedef传统,using现代。3.模板编程中简化复杂类型。4.注意别名直观性和使用适度。 C++中的类型别名(Type Alias)是一种为已存在的类型创建新名称的机制。简单来说,它允许你给一个类型起一个新的名字,这在代码中可以提高可读性和简化复杂的类…

    2025-05-11
    1900
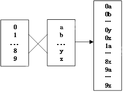
  • OpenMP并行加速笛卡尔乘积

    以下是对给定文章进行伪原创的输出,确保不改变文章的大意和图片的位置,并保持原文的语言: 字典字符集的笛卡尔乘积 问题描述:对于一个由字典字符集组合而成的表达式,如何求出所有可能的元素组合?例如,表达式[0-9][a-z],其中0-9代表10个数字,a-z代表26个小写字母,其所有可能的元素组合为0a, 0b, …, 0z, 1a, 1b, &#8…

    2025-05-11
    2500
  • 怎样在C++中处理平台特定的功能?

    在c++++中处理平台特定的功能可以通过以下方式实现:1.条件编译:使用#ifdef、#ifndef等预处理指令选择性编译代码。2.平台抽象层:创建抽象层隔离平台实现,提高代码可移植性。3.动态加载库:运行时动态加载平台库,增加灵活性。4.模板元编程:利用模板在编译时生成平台特定代码。 在C++中处理平台特定的功能是一项既有趣又挑战的任务。让我们从回答这个问…

    2025-05-10
    1700
  • win32进程概念之句柄表,以及内核对象.

    在不改变文章大意和图片位置的前提下,以下是经过伪原创处理的文章: 句柄表与内核对象之间的关系是什么?首先,我们需要了解什么是句柄表,什么是内核对象。 一、句柄表和内核对象的概念 句柄表的生成 当我们使用CreateProcess函数时,它会返回一个进程句柄和一个线程句柄。在调用CreateProcess时,内核会创建一个EPROCESS结构来保存进程信息。 …

    2025-05-07
    700
  • 如何计算中断函数的执行时间

    让我们来探讨如何测量一个函数的执行时间,特别是在嵌入式系统中的中断函数。这里提供几种方法来帮助我们理解和优化函数的性能。 使用 GPIO 引脚测量执行时间 最简单的方法是使用 GPIO 引脚来记录函数的开始和结束时间。这种方法不仅可以测量时间,还可以与 MCU 的功耗分析结合起来。 步骤: 在函数开始时,将一个 GPIO 引脚置高。 在函数结束时,将这个 G…

    编程技术 2025-05-06
    1300
  • 如何将 C++ 框架与 .NET 技术集成?

    c++++ 框架与 .net 技术可通过两种方式集成:使用 c++/cli,允许在 c++ 代码中使用 .net 对象和类。使用 p/invoke,可以在 c++ 代码中调用 .net 方法。在 C++ 框架中集成 .NET 技术
    在现代软

    2024-08-11
    1700
  • C++框架如何通过事件机制实现可扩展性和解耦?

    事件机制在 c++++ 框架中的应用至关重要,它通过允许不同组件对特定事件作出反应而提高了扩展性和解耦性。实现方式包括:回调函数:监听器注册函数,在事件触发时调用。观察者设计模式:监听器订阅事件,自动接收通知。优点:可扩展性:轻松添加/移除

    2024-08-11
    2000
  • C++框架如何帮助管理代码复杂性?

    c++++ 框架通过提供结构、约定和工具来管理复杂性,从而简化了大规模 c++ 代码库的管理。这些框架通过定义代码结构、提供工具,并附带完善的文档来帮助解决多态性、继承、模版和异常带来的复杂性。例如,boost 库可以通过使用函数指针和绑定

    2024-08-11
    2600
  • 源码php如何使用教程

    要使用 php 源代码,需要从官网下载并安装,安装路径因系统而异。php 源代码由 c 语言编写,包含函数、类和宏。开发者可通过源代码诊断问题、开发扩展并了解 php 的内部机制。注意,修改源代码时需谨慎,并遵守 bsd 许可证的版权声明。

    2024-08-07
    1800
  • 探索C++框架中的插件和扩展性

    在 c++++ 框架中,插件和扩展性使构建灵活且可扩展的应用程序成为可能。插件是独立的代码模块,可动态加载以扩展框架功能,而扩展性机制(如钩子函数和反射)允许自定义或替换框架组件。通过示例,我们展示了如何使用插件(如 websocket 支

    2024-08-05
    3300

联系我们

在线咨询: QQ交谈

邮件:442814395@qq.com

工作时间:周一至周五,9:30-18:30,节假日休息

关注微信公众号